التجاوز إلى المحتوى

بوكسنل مصر

بوكسنل مصر موقع إخباري، ترفيهي، مجتمعي يقدم افضل المحتوى للقارىء العربي حول اخبار الدول العربية والعالمية بالاضافة لتغطية كافة مجالات المعرفة التي يحتاجها القارىء يوميا

  • ألغاز وحلول
  • مشاهير
  • فن
  • سؤال وجواب
  • منوعات
الرئيسية ⁄ تمرين ⁄ الصفحة 13

تمرين

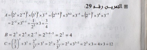
حل تمرين 29 ص 20 رياضيات 1 ثانوي

سؤال وجواب

حل تمرين 29 ص 20 رياضيات 1 ثانوي

سؤال وجواب

حل تمرين 65 ص 22 رياضيات 1 ثانوي

سؤال وجواب

حل تمرين 19 في الرياضيات للسنة الرابعة متوسط الفصل الاول

سؤال وجواب

حل تمرين 18 ص 19 رياضيات 1 ثانوي علمي

سؤال وجواب

حل تمرين 7 ص 58 رياضيات 3 ثانوي

سؤال وجواب

حل سؤال تمرين : من 5 حروف – معاني ومفردات – لعبة كلمات متقاطعة

تصفّح المقالات

السابق 1 … 11 12 13

إخترنا لك

  • بنك التسليف الاستفسار عن باقي الأقساط برقم الهوية 1447
  • مذكرة التربية الاسلامية للسنة الثانية ابتدائي المجموعة الثانية
  • تشغيل جدار الحماية من ويندوز يسمح بفحص حالة الحماية في الجهاز
  • سحب استدعاء المقابلة الشفهية لمسابقة الاساتذة 2025
  • موقع وزارة الدفاع الوطني الجزائري preinscription.mdn.dz
  • من نحن
  • للإتصال بنا
  • سياسة الخصوصية
  • حقوق الملكية الفكرية DMCA ©
مصر النهاردة